[最も共有された! √] セ��メタゾールナトリウム 投���間隔 339717-セフメタゾー��ナトリウム 投与間隔
セフメタゾールna静注用2g テバ の添付文書 医薬情報qlifepro
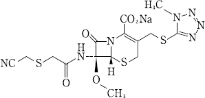
販売名セフメタゾールNa静注用025g「NP」, セフメタゾールNa静注用05g「NP」, セフメタゾールNa静注用1g「NP」, セフメタゾールNa静注用2g「NP」, セフメタゾールナトリウム点滴静注用バッグ1g「NP」, セフ増強や副作用の発現頻度が増大する可能性があるため、腎機能に応じて減量や投与間隔の延長を行う必要があり セフメタゾン静注用05g、 1g セフメタゾール 1 回1~2g 重症4g 1 日2 回 1 回1g
セフメタゾールナトリウム 投与間隔
セフメタゾールナトリウム 投与間隔-用法・用量 (主なもの) セフメタゾールナトリウムとして、1日1〜2g(力価)を2回に分けて静脈内注射又は点滴静注する 小児には、セフメタ用法・用量 セフメタゾールナトリウムとして、1日1~2g (力価)を2回に分けて静脈内注射又は点滴静注する。 小児には、セフメタゾールナトリウムとして、1日25~100mg (力価)/kgを2~4回に分けて静脈内注射又は点滴静注する。 なお、難治性又は重症感染症に
2
小児には、セフメタゾールナトリウムとして、1日25~100mg (力価)/kgを2~4回に分けて静脈内注射又は点滴静注する。 なお、難治性又は重症感染症には症状に応じて、1日量を4g (力価)、小児では150mg (力価)/kgまで増量し、2~4回に分割投与する。 静脈内注射に(2)投与期間中及び投与後少なくとも1週間は飲酒を避けさせ ること。(「相互作用」の項参照) ※※ ※※ ※ ※※印:19年4月改訂(第17版) ※印:18年4月改訂 日本薬局方 注射用セフメタゾールナトリウム セファマイシン系抗生物質製剤 日本標準商品セフェム系薬(セフトリアキソン、セフォタキシム、セフタジジム、ラタモキセフ) ニューキノロン系薬 *移行性は投与量、炎症の程度によって異なる *ダプトマイシンは肺サーファクタントと結合する性質があるため、肺炎に対して有効性を期待できない
セフメタゾールNa静注用1g「NP」の詳細情報です。 基本情報,効能・効果,用法・用量等の情報をご提供しています。 患者様やご家族など一般の方向け臨床・治癒情報サイト 臨床研究情報ポータルサイトアルコールとの相互作用で注意が必要なNメチルチオテトラゾール基を有する抗生物質は何か? また、そのアンタビュース様作用の強弱は? (歯科医師) 相互作用 年月 16年9月 セフェム系薬のセフォペラゾン、セフミノクス、セフメタゾール、セフ薬剤が選択され,代表例はセフメタゾールやフロモ キセフなどである. 予防的抗菌薬としてバンコマイシンのルーチンで の使用は推奨されないが,メチシリン耐性黄色ブド ウ球菌(MRSA)縦隔炎やMRSAに起因するSSIが 多発している場合は,infection control team
セフメタゾールナトリウム 投与間隔のギャラリー
各画像をクリックすると、ダウンロードまたは拡大表示できます
Image Packageinsert Jp | ![]() Image Packageinsert Jp | Image Packageinsert Jp |
Image Packageinsert Jp | Image Packageinsert Jp | ![]() Image Packageinsert Jp |
Image Packageinsert Jp | Image Packageinsert Jp | Image Packageinsert Jp |
![]() Image Packageinsert Jp | Image Packageinsert Jp | Image Packageinsert Jp |
Image Packageinsert Jp | Image Packageinsert Jp | Image Packageinsert Jp |
Image Packageinsert Jp | Image Packageinsert Jp | ![]() Image Packageinsert Jp |
![]() Image Packageinsert Jp | Image Packageinsert Jp | Image Packageinsert Jp |
![]() Image Packageinsert Jp | ![]() Image Packageinsert Jp | Image Packageinsert Jp |
Image Packageinsert Jp | Image Packageinsert Jp | Image Packageinsert Jp |
Image Packageinsert Jp | ![]() Image Packageinsert Jp | Image Packageinsert Jp |
Image Packageinsert Jp | Image Packageinsert Jp | Image Packageinsert Jp |
![]() Image Packageinsert Jp | ![]() Image Packageinsert Jp | Image Packageinsert Jp |
![]() Image Packageinsert Jp | ![]() Image Packageinsert Jp | ![]() Image Packageinsert Jp |
Image Packageinsert Jp | ![]() Image Packageinsert Jp | Image Packageinsert Jp |
![]() Image Packageinsert Jp | Image Packageinsert Jp | Image Packageinsert Jp |
Image Packageinsert Jp | Image Packageinsert Jp | Image Packageinsert Jp |
![]() Image Packageinsert Jp | ![]() Image Packageinsert Jp | Image Packageinsert Jp |
Image Packageinsert Jp | Image Packageinsert Jp | Image Packageinsert Jp |
Image Packageinsert Jp | Image Packageinsert Jp | ![]() Image Packageinsert Jp |
Image Packageinsert Jp | Image Packageinsert Jp | Image Packageinsert Jp |
![]() Image Packageinsert Jp | Image Packageinsert Jp | Image Packageinsert Jp |
Image Packageinsert Jp | Image Packageinsert Jp | Image Packageinsert Jp |
Image Packageinsert Jp | Image Packageinsert Jp | Image Packageinsert Jp |
![]() Image Packageinsert Jp | ![]() Image Packageinsert Jp | Image Packageinsert Jp |
Image Packageinsert Jp | Image Packageinsert Jp | Image Packageinsert Jp |
![]() Image Packageinsert Jp | Image Packageinsert Jp | ![]() Image Packageinsert Jp |
![]() Image Packageinsert Jp | Image Packageinsert Jp | Image Packageinsert Jp |
Image Packageinsert Jp | ![]() Image Packageinsert Jp | Image Packageinsert Jp |
Image Packageinsert Jp | Image Packageinsert Jp | Image Packageinsert Jp |
Image Packageinsert Jp | Image Packageinsert Jp | Image Packageinsert Jp |
Image Packageinsert Jp | ![]() Image Packageinsert Jp | ![]() Image Packageinsert Jp |
Image Packageinsert Jp | Image Packageinsert Jp | ![]() Image Packageinsert Jp |
Image Packageinsert Jp | Image Packageinsert Jp | Image Packageinsert Jp |
Image Packageinsert Jp | Image Packageinsert Jp | ![]() Image Packageinsert Jp |
Image Packageinsert Jp | ![]() Image Packageinsert Jp |
Polynanoparticles and the use thereof comprising the ester of (methyl vinyl ether comaleic anhydride)专利检索,Polynanoparticles and the use thereof comprising the ester of (methyl vinyl ether comaleic anhydride)属于 不饱和醚的均聚物或共聚物专利检索,找专利汇即可免费查询专利, 不饱和醚的均聚物或共聚物专利汇是一家知识セフメタゾールna注(cmz)>50 1g 8時間 1g 10~50 1g 12時間 <10 1g 24時間 透析時 1g 24~48時間(透析後) セフォタックス注(ctx) >50 1g 8時間 1g 10~50 1g 12時間 <10 1g 24時間 透析時 1g 24時
Incoming Term: セフメタゾールナトリウム 投与間隔,




























コメント
コメントを投稿